Matematik Tambahan Tingkatan 4 Indeks Dan Logaritma

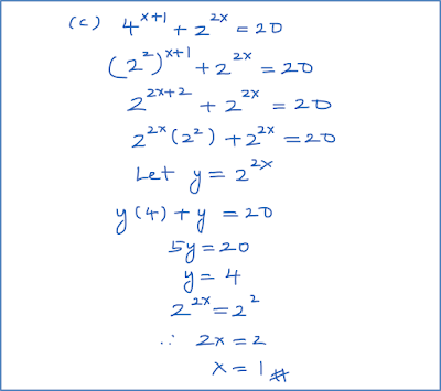
Matematik Tambahan Tingkatan 4 Indeks Dan Logaritma. Nilai logaritma biasa dapat dicari dengan menggunakan kalkulator saintifik. Nombor 4 didarabkan dengan nombor 4 sebanyak lima kali, maka tatatanda indeksnya ialah 4^5 (4 kuasa 5).

4 3 Logaritma Matematik Tambahan Spm
4 3 Logaritma Matematik Tambahan Spm from 2.bp.blogspot.com
Soalan yang dipilih (latih diri 4.2 soalan 1) adalah dari buku teks matematik tambahan tingkatan 4 . Indeks dan logaritmavideo ini membincangkan tentang tajuk dari matematik tambahan tingkatan 4 iaitu indeks dan logaritma. Blog ini mengandungi semua bab untuk tingkatan 4 dan 5.

4.6.4 indeks, surd dan logaritma, spm praktis (soalan pendek).

Log 2 5 x + log 4 . Spm 2018 matematik tambahan k1 indeks dan logaritma. Simbolnya ialah log10, singkatannya lg. Soalan yang dipilih (latih diri 4.2 soalan 1) adalah dari buku teks matematik tambahan tingkatan 4 .


Related Posts To Matematik Tambahan Tingkatan 4 Indeks Dan Logaritma


Matematik Tambahan Tingkatan 4 Indeks Dan Logaritma Rating: 4.5 Posted by: rinaearen

Search Here

Popular Posts

Total Pageviews

Recent Posts